5. 已知a,b為實數,且a≠0,如果一多項式f(x)除以ax+b,得商q(x),餘式為r,試問下列何者正確的?
(A)f(x)除以x+
,得商q(x),餘式為r
(B)xf(x)除以ax+b,得商xq(x)-
,餘式為
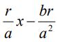
(C)xf(x)除以ax+b,得商xq(x)+
,餘式為-
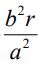
(D)x²f(x)除以ax+b,得商x²q(x)+
,餘式為-
答案:登入後查看
統計: A(0), B(0), C(1), D(0), E(0) #3866668
統計: A(0), B(0), C(1), D(0), E(0) #3866668