69.下列何者是嗎啡的活性代謝物?
(A)morphine-3-methyl ether
(B)morphine-3-glucuronide
(C)morphine-3-sulfate
(D)morphine-6-glucuronide
答案:登入後查看
統計: A(305), B(616), C(251), D(2699), E(0) #1376364
統計: A(305), B(616), C(251), D(2699), E(0) #1376364
詳解 (共 8 筆)
#2315458
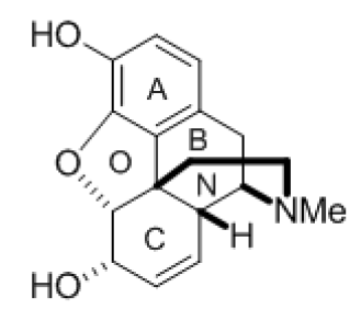
Codeine 經 O-demethylation / CYP2D6 代謝---> Morphine
Morphine 代謝有三個 1.N-demethylation / CYP3A4 ---> Normorphine (活性下降)
2. 3-glucuronidation ---> M3G (無活性)
3. 6-glucuronidation ---> M6G (活性上升)
活性大小比較 : M6G > Morphine > Normorphine > M3G
*3號OH為酚 6號OH為醇
116
1
#1613043
比較
morphine-3-glucuronide (inactive)
morphine-6-glucuronide (active)
43
0
