75.Spironolactone第7位置取代基,可阻礙aldosterone與其受體之那一個胺基酸的交互作用,而拮抗受體活化?
(A)cysteine
(B)arginine
(C)glutamine
(D)methionine
答案:登入後查看
統計: A(576), B(506), C(560), D(1303), E(0) #1376370
統計: A(576), B(506), C(560), D(1303), E(0) #1376370
詳解 (共 4 筆)
#4156381
幫沒鑽解鎖的人提供想法
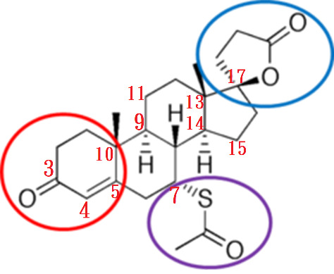
Spironolactone 的 7號C上有接S,含S的胺基酸有 cysteine 跟 methionine (感謝樓下麻黃科勘誤)
然而,methionine 尾端處,S 有接上 CH3,在構型上更類似於 Spironolactone 7號上的基團
59 Spironolactone的-SCOCH3基團與lactone環分別位於其結構的第幾個位置?
(C) 7,17
專技 - 藥理學與藥物化學- 99 年 - 099-2-藥師-藥理學與藥物化學#10002

31
0
#4832369
銀 cystein也有S
1
0
#6575587
-
Spironolactone 在 C‑7 位的硫代乙酰(7α‑thioacetyl)取代基 會伸向 MR(醛固酮受體)配體結合口袋中、由甲硫胺酸(methionine)側鏈所形成的疏水立體阻礙/范德華衝突,破壞了原本 aldosterone 與該疏水位點的關鍵接觸,使受體無法完成活化所需的構形(H12 無法正確關閉),因此呈 拮抗。
-
Arginine、glutamine 主要參與配體 3‑keto/21‑OH 等極性基團的氫鍵/離子作用,較親水。
-
Cysteine 雖然有S,但人家是SH親水(為什麼,秘密,高中化學老師在你背後很火)
0
0