阿摩線上測驗
登入
首頁
>
物理化學(包括化工熱力學)
>
113年 - 113 高等考試_三級_化學工程:物理化學(包括化工熱力學、動力學)#121504
> 申論題
題組內容
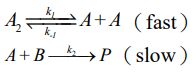
四、反應物 A
2
進行分解成 A 之活性中間物(active intermediate),接著 A 與 B 反應轉變成 P,其反應機構(reaction mechanism)表示如下:
(一)以速率決定步驟(rate-determining step)方式推導其反應速率定律式 (rate law)。(8 分)
相關申論題
(一)若此過程為機械可逆(mechanically reversible)絕熱壓縮,試求此氣體之 最後溫度、作功量(work)與其熵變化量(entropy change of the gas, ΔS)。 (10 分)
#517605
(二)若此過程為不可逆絕熱壓縮,需比機械可逆過程多出額外 30%作功量, 計算此氣體之最後溫度、作功量和熵變化量。(10 分)
#517606
(一)請寫下此電池之半反應與全反應。
#517607
(二)計算此電池之標準電動勢(emf)。
#517608
(三)若電池中電解液之鋅離子濃度改為 0.001 M,而銀離子為 0.5 M,計算 此 25℃下之電池電動勢。
#517609
(一)當液相成分 A 莫耳分率()為 0.4 時,試問此系統之總壓與汽相中 A 之莫耳分率() 。(8 分)
#517610
(二)此系統在於= 0.7 時發生共沸(azeotrope),試算出共沸點壓力,並 畫出可能之壓力與汽、液相組成之相圖(即)。 (10 分)
#517611
(三)若以 3 莫耳 A 與 2 莫耳 B 之液體相混合,試求混合前、後之整體吉伯 士自由能變化量(change in the total Gibbs free energy)。(7 分)
#517612
(二)另外以穩定狀態近似法(steady-state approximation)推導反應速率定律式,並說明與(一)小題結果是否一致。(12 分)
#517614
(一)理想溶液(ideal solution)
#517615
相關試卷
114年 - 114 地方政府公務特種考試_三等_化學工程:物理化學(包括化工熱力學、動力學)#134774
114年 · #134774
114年 - 114 公務升官等考試_薦任_化學工程:物理化學(包括化工熱力學)#133274
114年 · #133274
114年 - 114 高等考試_三級_化學工程:物理化學(包括化工熱力學、動力學)#128789
114年 · #128789
114年 - 114 關務特種考試_三等_化學工程(選試英文):物理化學(包括化工熱力學)#126667
114年 · #126667
113年 - 113 地方政府公務特種考試_三等_化學工程:物理化學(包括化工熱力學、動力學)#124506
113年 · #124506
113年 - 113 高等考試_三級_化學工程:物理化學(包括化工熱力學、動力學)#121504
113年 · #121504
113年 - 113 關務特種考試_三等_化學工程(選試英文):物理化學(包括化工熱力學)#119514
113年 · #119514
112年 - 112 地方政府特種考試_三等_化學工程:物理化學(包括化工熱力學)#118352
112年 · #118352
112年 - 112 公務升官等考試_薦任_化學工程:物理化學(包括化工熱力學)#117313
112年 · #117313
112年 - 112 專技高考_專利師(選試專業英文及物理化學)、專利師(選試專業日文及物理化學):物理化學#116261
112年 · #116261