阿摩線上測驗
登入
首頁
>
試驗設計
>
105年 - 105 原住民族特種考試_三等_農業技術:試驗設計#56542
> 申論題
申論題
試卷:105年 - 105 原住民族特種考試_三等_農業技術:試驗設計#56542
科目:試驗設計
年份:105年
排序:0
申論題資訊
試卷:
105年 - 105 原住民族特種考試_三等_農業技術:試驗設計#56542
科目:
試驗設計
年份:
105年
排序:
0
題組內容
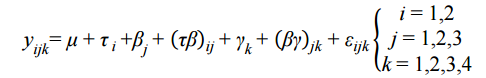
一、考慮以 3 個等級的鉀肥因子(K)及 4 個不同的甘藷品種(V)進行一個裂區試驗, 以鉀肥當成主區因子(固定型),甘藷品種當成副區因子(固定型),重複 2 次(隨 機型),使用以下模式分析產量資料:
其中 τ
i
代表重複因子;β
j
代表鉀肥因子;γ
k
代表甘藷品種因子。
申論題內容
⑴請分別寫出上述模式中各因子的期望均方。(15 分)