題組內容
二、臺北市 A 公車站每隔 5 分鐘就有一輛公車到站,乘客到達車站的任一時刻是均勻分
配,若令隨機變數 X 為乘客到達車站後等待公車到達的候車時間,試求:
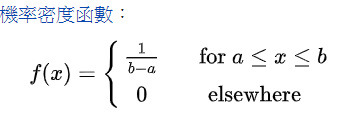
⑴請寫出隨機變數 X 的機率分配 f (x ) 為何?(6 分)
詳解 (共 3 筆)
詳解
1.隨機變數X為為乘客到達車站後等待公車到達的候車時間,且乘客到站任一時刻為均勻分配(U),所以X也為均勻分配
2.公車站每隔5分鐘有1公車到站,所以X~U(0,5)=>f(x)=1/5, 0<=x<=5
詳解
X~Uniform (0,5)
f(X)=1/5, 0<X<5



詳解
X~Uniform(0,5)
f(x)=1/5 , 0≦x≦5