阿摩線上測驗
登入
首頁
>
教甄◆數學
>
115年 - 115-1 國立嘉科實驗高級中學_教師甄選試題_國中部:數學科#138695
> 申論題
題組內容
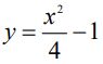
3.如圖(七),P(m,n)是拋物線
上任意一點,直線L是過點(0,-2)且與x軸平行的直線,過點P作
⊥L,垂足為H點。
(1)若m、n為任意數,請說明
之大小關係為何?
相關申論題
1. 如圖(二)。王爸爸想利用5塊長和寬分別為30cm、10cm的地磚,以不裁切的方式鋪滿30cm×50cm的區域。請問:王爸爸鋪設的方式有________種?
#568418
2. 如圖(三)。矩形ABCD中,M點與N點分別為的中點,且矩形ABCD的面積為112 cm²。請問:△AMN的面積是_______ cm²?
#568419
3.將數字1~6組合成兩個3位數,再將這兩個3位數相加後,最大值為M,最小值為N。求M-N的值為___________?
#568420
4.甲和乙兩新市鎮位於鐵路的同側,政府希望在鐵路沿線增設一個火車站,此車站必須與兩新市鎮的距離相同。甲(3,3),乙(-1,1),符合條件的火車站座標為(m,-1),求m的數值為_____________。
#568421
5.化簡後的數值為____________。
#568422
6.如圖(五),在梯形ABCD中,,∠BAD=90°,=6,對角線平分∠BAD,E點在上,且=2,P點是上的動點,則+之最小值是_____。
#568423
7.設向量,且,若,則k值為___________。
#568424
8.甲、乙、丙、丁四人坐傳球練習,每個人接到球以後立刻傳給別人,開始由甲發球作為第一次傳球,在第四次傳球後,球又回到甲的手上,則一共有____________種不同的傳球順序。
#568425
(1)若每一直行上方數字小於下方數字,則有幾種不同的填法?
#568426
(2)若每一直行的數字和均相等,則有幾種不同的填法?
#568427
相關試卷
115年 - 115-1 國立嘉科實驗高級中學_教師甄選試題_國中部:數學科#138695
115年 · #138695
115年 - 115-1 臺北市立中正高級中學_專任教師甄選初試試題:數學科#138690
115年 · #138690
115年 - 115-1 國立羅東高中_教師甄選初試︰數學科#138675
115年 · #138675
115年 - 115-1 臺南市立沙崙國際高級中學高中部_教師甄選試題:數學科#138673
115年 · #138673
115年 - 115-1 國立蘭陽女子高級中學_教師甄選試題︰數學科#138666
115年 · #138666
115年 - 115-1 新竹縣立湖口高中_正式教師甄選試題:數學科#138653
115年 · #138653
115年 - [無官方正解]115-1 國立屏科實驗高級中等學校_教師甄選:高中數學科#138645
115年 · #138645
115年 - 115-1 國立屏科實驗高級中等學校_教師甄選試題:國中數學科#138641
115年 · #138641
115年 - 115-1 國立嘉科實驗高級中學_教師甄選試題_高中部:數學科#138615
115年 · #138615
115年 - 115-1 臺北市立大同高級中學_教師甄選初選試題:高中數學科#138591
115年 · #138591