阿摩線上測驗
登入
首頁
>
統計學
>
112年 - 112 高等考試_三級_經建行政、農業行政:統計學#115768
> 申論題
申論題
試卷:112年 - 112 高等考試_三級_經建行政、農業行政:統計學#115768
科目:統計學
年份:112年
排序:0
申論題資訊
試卷:
112年 - 112 高等考試_三級_經建行政、農業行政:統計學#115768
科目:
統計學
年份:
112年
排序:
0
題組內容
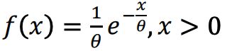
一、令X1, ⋯ , X6表示服從指數分配(Exponential distribution)Exp(θ)的隨機樣本,其機率密度函數為
。(每小題8分,共24分)
申論題內容
(一)計算E(X
1
)。(E:Expectation)(須列出計算過程)