題組內容
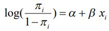
三、令Y1,Y2,...,Yn為相互獨立的反應變數(responsevariables) ,其對應的資料 觀察值為y1,y2,...,yn。假設每一Yi皆服從參數為i的伯努利(Bernoulli) 分配,即Yi~Bernoulli(π i ) ,且 π i的值與 xi 變數間滿足以下關係:
式中的α 與 β 為兩待估計的模型參數。
(三)請詳細推導如何求得α與β的最大概似估計值(maximumlikelihood estimates)。(10分)
三、令Y1,Y2,...,Yn為相互獨立的反應變數(responsevariables) ,其對應的資料 觀察值為y1,y2,...,yn。假設每一Yi皆服從參數為i的伯努利(Bernoulli) 分配,即Yi~Bernoulli(π i ) ,且 π i的值與 xi 變數間滿足以下關係:
式中的α 與 β 為兩待估計的模型參數。
(三)請詳細推導如何求得α與β的最大概似估計值(maximumlikelihood estimates)。(10分)