題組內容
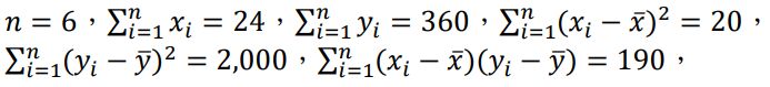
四、某公司的維修部門負責該公司所有機器設備維修工作,部門經理為估計下年度所需之維修成本,蒐集了過去 6 個月的機器運轉時數(xi)與所耗用的維修費用(yi)資料,並建立了二者間的迴歸模
i = 1,2, ⋯ , n,假設εi為相互獨立且具有共同分配N(0,σ2 )。令yi的最小平方估計值為
,已知樣本相關資訊如下:
其中
分別表示n個xi和n個yi 的樣本平均數。
(二)已知迴歸模型的判定係數R2 為 0.9025,計算出以下迴歸模型的變異數分析表中 A1、A2、A3 的數值。 (12 分)