阿摩線上測驗
登入
首頁
>
統計學
>
111年 - 111 地方政府特種考試_四等_統計:統計學概要#112619
> 申論題
題組內容
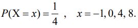
二、已知間斷隨機變數 X,其機率質量函數如下所示:
(二)求母群體的變異數Var(X)。(5分)
相關申論題
(一)計有觀察值個數為250的資料集(dataset),其分佈大致呈鐘形分佈(bellshaped),已知平均值為50,標準差為10。大約有多少個觀測值位於30到50之間?(10分)
#482694
(二)計有觀察值個數為160的數值資料集(dataset),已知平均值為70,標準差為10。至少有多少個觀察值介於50和90之間?(10分)
#482695
(一)求母群體平均數E(X)。(5分)
#482696
(三)驗證Var(X+1)是否與Var(X)相等?需計算Var(X+1)。(5分)
#482698
(四)驗證Var(-X)是否與Var(X)相等?需計算Var(-X)。(5分)
#482699
(一)計算隨機變數X和Y的各自邊際質量機率函數。(10分)
#482700
(二)隨機變數X和Y是否獨立?驗證你的答案。(10分)
#482701
(一)寫出此題的虛無假設與對立假設。(5分)
#482702
(二)兩組資料的變異數(variance)是否相等?以適當的檢定統計量計算之。 (12分)
#482703
(三)陳述子題(一)之檢定統計量並利用上述資料計算之。(12分)
#482704
相關試卷
114年 - 114 地方政府公務、離島地區公務特種考試_三等_經建行政、農業行政:統計學#134798
114年 · #134798
114年 - 114 地方政府公務、離島地區公務特種考試_四等_經建行政:統計學概要#134781
114年 · #134781
114年 - 114 地方政府公務特種考試_三等_統計:統計學#134714
114年 · #134714
114年 - 114 地方政府公務特種考試_四等_統計:統計學概要#134710
114年 · #134710
114年 - 114 公務升官等考試_薦任_經建行政、工業行政:統計學#133268
114年 · #133268
114年 - 114 公務升官等考試_薦任_統計:統計學#133252
114年 · #133252
114年 - 114 原住民族特種考試_四等_經建行政:統計學概要#130952
114年 · #130952
114年 - 114 原住民族特種考試_三等_經建行政:統計學#130950
114年 · #130950
114年 - 114 普通考試_經建行政:統計學概要#128743
114年 · #128743
114年 - 114 高等考試_三級_經建行政、工業行政、農業行政:統計學#128681
114年 · #128681