阿摩線上測驗
登入
首頁
>
行銷管理學及經濟學
>
98年 - 98 經濟部所屬事業機構_新進職員甄試_企管:1.行銷管理2.經濟學(重複)#82410
> 申論題
題組內容
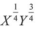
九、假設某甲效用函數為U(X,Y)=
,所得為9,000 元,X與Y的單價均為10元,試問:
(二)若政府為鼓勵某甲增加X的消費,某甲購買每一單位X,政府都補助5元,某甲之最適消費組合為何?(4分)
相關申論題
一、請以行銷觀點解釋下列名詞(每題3分,共 15 分): (一)顧客價值(Custormer Value)
#335370
(二)負需求(Negative Demand)
#335371
(三)統購合約(Blanket Contracts)
#335372
(四)逆向定價(Reverse Pricing)
#335373
(五)通路衝突(Channel Conflict)
#335374
(一)研究
#335375
(二)區隔(Segmentation )、訂定目標 (Targeting )、定位(Positioning )
#335376
(三)行銷組合
#335377
(四)執行
#335378
(五)控制
#335379
相關試卷
108年 - 108 中華郵政股份有限公司_職階人員甄試_專業職(一)/郵儲業務甲_專業科目(1):經濟學概要及行銷管理概要#75234
108年 · #75234
98年 - 98 經濟部所屬事業機構_新進職員甄試_企管:1.行銷管理2.經濟學(重複)#82410
98年 · #82410
97年 - 中油雇員招考 行銷管理學及經濟學#35231
97年 · #35231
96年 - 96 經濟部所屬事業機構新進職員甄試_業務行銷:行銷管理學、經濟學#110528
96年 · #110528