阿摩線上測驗 登入

申論題資訊

試卷:112年 - 112 公務升官等考試_薦任_經建行政:統計學#117340
科目:統計學
年份:112年
排序:0

題組內容

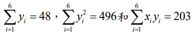
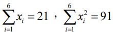
三、假設我們有 6 筆成對資料 ( x, y ) ,統計資料為654c3aaa09f9c.jpg654c3ac8a1e3e.jpg,利用這 6 筆資料建構簡單線性迴歸模型 yi= β0+ β1xii,i=1, 2, ..., 6 ,在滿足迴歸模型誤差項 ε i 平均值為 0 及變異數為σ 2 之常態的基本假設下,試問利用最小平方法求取 β1的估計量 654c3b4f33a2a.jpg(estimator),則:

申論題內容

(二) β1 的最小平方估計值為何?(5 分)