阿摩線上測驗
登入
首頁
>
教甄◆數學
>
110年 - 110 臺北市市立普通型高級中等學校正式教師聯合甄選:數學科#98674
> 申論題
題組內容
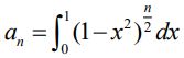
4. 設數列〈a
n
〉 滿足
,n = 0, 1, 2, 3,…。
(2)試求
的值。
相關申論題
1. 求兩曲線x= y2 和 x- y=2 所圍成之區域面積。
#412027
2. 求方程式 的所有解x。
#412028
3. 將4個a,2個b及2個c共8個字母排成一列,則相同字母不相鄰的排法有幾種?
#412029
4. 已知 f (x) 為10次多項式,且滿足 ,k=1,2,3,... ,11 ,求 f (12) 之值。
#412030
5. 已知A為的子集合,且A中任兩個元素之和都不為6的倍數,求集合A的元素個數之最大值。
#412004
6. 已知 △OAB 內接於拋物線 y2= 8 x ,其中 O 為原點,且此內接三角形的垂心恰為拋物線的焦點,求 △OAB 的外接圓之圓心坐標。
#412005
7. 已知 n 為正整數,且方程式 的10個複數根為(k= 1, 2,3, 4,5) , 求 。(以 n 表示)
#412006
8. 如下圖,ABCDE為一正五邊形,令 △ABE 為三角形ABE的面積。 試求:正五邊形 ABCDE 的面積與三角形 ABE 的面積之比值,即 之值。
#412007
1. 五人進行「剪刀、石頭、布」的猜拳,五人同時出拳,若能分出勝負(例如:兩 人出剪刀,三人出石頭時,算是分出勝負;但五人都出剪刀時,不算分出勝負), 則猜拳停止;若分不出勝負,則繼續猜拳,直到分出勝負為止。試求猜拳次數的期望值。
#412008
2. 在坐標平面上, A, B, C 三點形成直角三角形,其中 ∠C=90° , =60,又過 A 與 B 兩點的中線方程式分別為 y= x+ 2021 與 y = 2x+110。試求三角形 ABC 的面積。
#412009
相關試卷
115年 - 115-1 臺中市立文華高級中等學校_教師甄選專業知能試題:數學科#138727
115年 · #138727
115年 - 115-2 台北市立建國高級中學_正式教師甄選試題:數學科#138704
115年 · #138704
115年 - 115-1 國立嘉科實驗高級中學_教師甄選試題_國中部:數學科#138695
115年 · #138695
115年 - 115-1 臺北市立中正高級中學_專任教師甄選初試試題:數學科#138690
115年 · #138690
115年 - 115-1 國立羅東高中_教師甄選初試︰數學科#138675
115年 · #138675
115年 - 115-1 臺南市立沙崙國際高級中學高中部_教師甄選試題:數學科#138673
115年 · #138673
115年 - 115-1 國立蘭陽女子高級中學_教師甄選試題︰數學科#138666
115年 · #138666
115年 - 115-1 新竹縣立湖口高中_正式教師甄選試題:數學科#138653
115年 · #138653
115年 - [無官方正解]115-1 國立屏科實驗高級中等學校_教師甄選:高中數學科#138645
115年 · #138645
115年 - 115-1 國立屏科實驗高級中等學校_教師甄選試題:國中數學科#138641
115年 · #138641