阿摩線上測驗 登入

申論題資訊

試卷:110年 - 110 國立臺灣大學_碩士班招生考試_應用力學研究所乙組:流體力學(A)#100922
科目:研究所、轉學考(插大)-流體力學
年份:110年
排序:0

題組內容

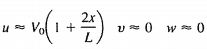
2. (25%) Flow through the converging nozzle can be approximated by the one-dimensional velocity distribution
61306565e6379.jpg
61306592acd98.jpg

申論題內容

(a) (15%) Find a general expression for the fluid acceleration du'dt in the nozzle.