題組內容
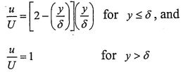
5. (20%) A laminar boundary layer velocity profile is approximately by 
(b) Use the momentum integral equation to determine the boundary thickness, δ
5. (20%) A laminar boundary layer velocity profile is approximately by 
(b) Use the momentum integral equation to determine the boundary thickness, δ