題組內容
9.
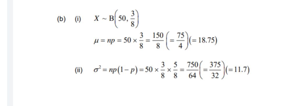
(ii) the variance of X . [3 分]
詳解 (共 1 筆)
詳解


(a)3/8(b)75/4
(c)375/32