阿摩線上測驗
登入
首頁
>
電子學
>
109年 - 109 普通考試_電力工程、電子工程、電信工程:電子學概要#88728
> 申論題
題組內容
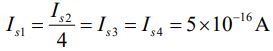
三、分析下圖之電路,若電晶體之電流可表示為
,電晶體之β=∞,輸出阻抗(r
o
)值可忽略。若I
B1
= I
B2
= 0.5 mA,V
T
= 25 mV,R = 100 Ω,
。(每小題10分,共20分)
⑵V
B2
=?
相關申論題
⑴若運算放大器之增益為無窮大,試求 vo 之穩態電壓。
#359875
⑵若運算放大器之增益為10 V/V,試求 vo 之穩態電壓。
#359876
⑴若R = 10 kΩ,C = 1 μF,試求α 及β (單位為Volt)。
#359877
⑵若R = 100 Ω,C = 100 pF,試求α 及β (單位為Volt)。
#359878
⑴VB1 =?
#359879
⑴請說明本電路之輸入端及輸出端分別採用何種回授組態?(5分)
#359881
⑵試求 =?(需標註正負號,全對計分。)(10分)
#359882
⑶試求Rout =?(5分)
#359883
⑴若S的輸入為邏輯0,試繪出Q1的波形,並求其輸出週期。(5分)
#359884
⑵承上,D型正反器輸出的電壓位準為1 V(邏輯1)及0 V(邏輯0),若電容C = 1 pF,試求電容的動態功率消耗。(10分)
#359885
相關試卷
115年 - 115-1 臺北市立大安高工教師甄選試題_電子/控制科:電子學#138452
115年 · #138452
115年 - 115 國營臺灣鐵路股份有限公司從業人員_甄試試題_第10階-助理技術員-電力、電務:電子學概要#138261
115年 · #138261
114年 - 114 地方政府公務特種考試_三等_電力工程、電子工程、電信工程:電子學#134800
114年 · #134800
114年 - 114 地方政府公務特種考試_四等_電力工程、電子工程、電信工程:電子學概要#134742
114年 · #134742
114年 - 114 專技高考_電子工程技師:電子學#133712
114年 · #133712
114年 - 114 公務升官等考試_薦任_電力工程、電子工程、電信工程:電子學#133247
114年 · #133247
114年 - 114 原住民族特種考試_四等_電子工程:電子學概要#130947
114年 · #130947
114年 - 114 專技高考_專利師(選試專業英文及電子學)、專利師(選試專業日文及電子學):電子學#130110
114年 · #130110
114年 - 114 普通考試_電力工程、電子工程、電信工程:電子學概要#128790
114年 · #128790
114年 - 114 高等考試_三級_電力工程、電子工程、電信工程:電子學#128768
114年 · #128768