阿摩線上測驗
登入
首頁
>
技師◆流體力學與流體機械
>
101年 - 101 專技高考_機械工程技師:流體力學與流體機械#26561
> 申論題
申論題
試卷:101年 - 101 專技高考_機械工程技師:流體力學與流體機械#26561
科目:技師◆流體力學與流體機械
年份:101年
排序:0
申論題資訊
試卷:
101年 - 101 專技高考_機械工程技師:流體力學與流體機械#26561
科目:
技師◆流體力學與流體機械
年份:
101年
排序:
0
題組內容
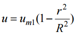
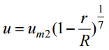
三、如下圖之 30°彎肘圓管(elbow circular duct),管內流體為水(密度 1000 kg/m
3
),質 量流率為 20.65 kg/s。 在截面 1 之流場為層流(laminar flow),其速度分布為
在截面 2 之流場為紊流(turbulent flow),其速度分布為
其中u
m1
, u
m2
分別為截面1 及2 之中心速度(center line velocity),試求:
申論題內容
⑶利用牛頓第二定律,估算作用在 30°彎肘圓管之力(N)及方向。(10 分)