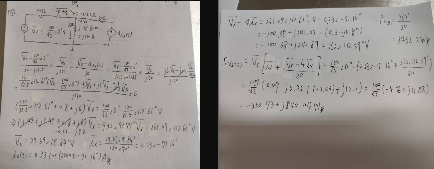
四、如圖四所示交流電路,若vs (t)=100cos2000t V,試求電流ix (t)、電源vs (t)所提供的複數功率及 20 Ω 電阻吸收的平均功率。(30 分)

詳解 (共 1 筆)
詳解

四、如圖四所示交流電路,若vs (t)=100cos2000t V,試求電流ix (t)、電源vs (t)所提供的複數功率及 20 Ω 電阻吸收的平均功率。(30 分)

