阿摩線上測驗 登入

申論題資訊

試卷:109年 - 109 地方政府特種考試_三等_電子工程:電磁學#94888
科目:電磁學
年份:109年
排序:0

題組內容

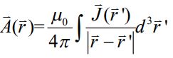
一、已知向量磁位能(magnetic vector potential)5fe2b54f247c1.jpg和電流密度(current density) 5fe2b5778efff.jpg 之關係式為5fe2b58f0ae54.jpg ,其中5fe2b59fae1bf.jpg為場位置,5fe2b5aaadfb2.jpg為源位置, μ0 為導磁係數(permeability),積分係對應於所有空間,且當5fe2b5d6aa13f.jpg 時, 5fe2b5e7868e0.jpg趨近於零,證明以下三小題。

申論題內容

(一)5fe2b5fdef128.jpg。(8分)