阿摩線上測驗
登入
首頁
>
電子學
>
100年 - 100 身心障礙特種考試_四等_電力工程、電子工程:電子學概要#46158
> 申論題
題組內容
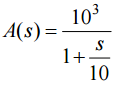
二、分析圖 2 所示之電路。若運算放大器之電壓增益為
,輸入阻抗為無窮 大,輸出阻抗為 0:
⑴試求V
o
/V
i
之直流小信號增益。(10 分)
相關申論題
⑴若輸入電壓 Vi = 1V,試求輸出電壓 Vo值為何?(10 分)
#156914
⑵試求輸入阻抗 Ri值為何?(10 分)
#156915
⑵試求Vo/Vi之 3dB 頻寬。(10 分)
#156917
⑴試求放大器之輸入阻抗Ri。
#156919
⑵試求放大器之電壓增益Vo/Vi。
#156920
五、試以 CMOS 邏輯電路實現以下之布林函數。(20 分) Y=(A+B)C+DE
#156921
6. 已知下圖疊接放大電路之MOSFET參數K₁=K₂=0.5mA/V²,靜態汲極電流ID為0.5mA,則電路之gm為?
#566892
5. 如圖所示電路,Vi=3.77cos377tV,R=100kΩ,C=1μF,電容電壓初值為零,則輸出電壓Vo為?
#566891
4. 如圖所示電路,若運算放大器具理想特性且Vo=12V,試求電流源I1為?
#566890
3. 如圖所示主動式帶通濾波器,其高頻截止頻率為fH,低頻截止頻率為fL,若C₂=5C₁,R₂=4R₁,則fH/fL為?
#566889
相關試卷
115年 - 115-1 臺北市立大安高工教師甄選試題_電子/控制科:電子學#138452
115年 · #138452
115年 - 115 國營臺灣鐵路股份有限公司從業人員_甄試試題_第10階-助理技術員-電力、電務:電子學概要#138261
115年 · #138261
114年 - 114 地方政府公務特種考試_三等_電力工程、電子工程、電信工程:電子學#134800
114年 · #134800
114年 - 114 地方政府公務特種考試_四等_電力工程、電子工程、電信工程:電子學概要#134742
114年 · #134742
114年 - 114 專技高考_電子工程技師:電子學#133712
114年 · #133712
114年 - 114 公務升官等考試_薦任_電力工程、電子工程、電信工程:電子學#133247
114年 · #133247
114年 - 114 原住民族特種考試_四等_電子工程:電子學概要#130947
114年 · #130947
114年 - 114 專技高考_專利師(選試專業英文及電子學)、專利師(選試專業日文及電子學):電子學#130110
114年 · #130110
114年 - 114 普通考試_電力工程、電子工程、電信工程:電子學概要#128790
114年 · #128790
114年 - 114 高等考試_三級_電力工程、電子工程、電信工程:電子學#128768
114年 · #128768