阿摩線上測驗
登入
首頁
>
半導體工程
>
101年 - 101 高等考試_三級_電子工程:半導體工程#39534
> 申論題
題組內容
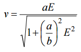
一、若一個半導體中電子的漂移速度 v 與外加電場 E 之間的關係可被模擬為: a
求該半導體之:
⑵飽和速度(saturation velocity)v
sat
。(7 分)
相關申論題
⑴遷移率(mobility)μ。(7 分)
#118040
⑴請說明 n 型砷化鎵為何會顯現負微分遷移率(negative differential mobility)。(9 分)
#118042
⑵請由你的說明歸納出半導體會具有負微分遷移率的幾個必要條件。(9 分)
#118043
⑴ 說 明 如 何 從 一 個 pn 二 極 體 的 順 向 偏 壓 I-V 特 性 來 得 到 逆 向 飽 和 電 流 ( reverse saturation current)Is。(8 分)
#118044
⑵為何不直接從 pn 二極體的逆向偏壓 I-V 特性得到逆向飽和電流,有何實際困難? (8 分)
#118045
⑴說明這兩個電容的成因為何?(6 分)
#118046
⑵在順向偏壓下,主控的電容會是那一個?為什麼?(6分)
#118047
⑶在逆向偏壓下,主控的電容會是那一個?為什麼?(6 分)
#118048
⑴繪圖說明雙極性接面電晶體的基極寬度調變(base width modulation)效應。(6 分)
#118049
⑵繪出集極電流對基極集極間電壓之關係,並說明基極寬度調變效應對集極電流的 影響。(6 分)
#118050
相關試卷
114年 - 114 地方政府公務特種考試_三等_電子工程:半導體工程#134688
114年 · #134688
114年 - 114 高等考試_三級_電子工程:半導體工程#128721
114年 · #128721
114年 - 114 高等考試_三級_電子工程:半導體工程#128720
114年 · #128720
113年 - 113 地方政府公務特種考試_三等_電子工程:半導體工程#124513
113年 · #124513
113年 - 113 高等考試_三級_電子工程:半導體工程#121484
113年 · #121484
112年 - 112 地方政府特種考試_三等_電子工程:半導體工程#118133
112年 · #118133
112年 - 112 高等考試_三級_電子工程:半導體工程#115437
112年 · #115437
111年 - 111 地方政府特種考試_三等_電子工程:半導體工程#112359
111年 · #112359
111年 - 111 高等考試_三級_電子工程:半導體工程#109458
111年 · #109458
111年 - 111 鐵路特種考試_高員三級_電子工程:半導體工程#108533
111年 · #108533