阿摩線上測驗
登入
首頁
>
電子學
>
99年 - 99 地方政府特種考試_三等_電力工程:電子學#46381
> 申論題
題組內容
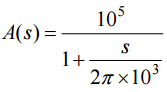
二、一內部補償(Internally compensated)之運算放大器(OPA)具有下列之增益函數
⑶畫出上述放大器V
o
/V
i
(增益gain)之振幅響應圖(Magnitude response)與相位響 應圖(Phase response)。(10 分)
相關申論題
⑴畫出vI - vO電壓轉換特性(Voltage transfer characteristics)。(5 分)
#158045
⑵當vI = 2 V,求vO與vA分別為何?(5 分)
#158046
⑶當vI = 20 mV,求vO與vA分別為何?(5 分)
#158047
⑷說明此電路與傳統二極體半波整波電路比較,有何不同?(5 分) 圖1
#158048
⑴試利用此 OPA 組成一直流增益為 10 V/V 之非反相放大器(假設目前手邊只有 2 kΩ, 5 kΩ, 8 kΩ, 12 kΩ, 15 kΩ及 18 kΩ的電阻器各一個),畫出其電路圖。(5 分)
#158049
⑵試估計上述放大器之截止頻率(Cutoff frequency)及單一增益頻率(Unity-gain frequency)。(5 分)
#158050
四、如 圖 3 所 示 為 一 以 二 個 CMOS 反 相 器 所 組 成 之 無 穩 態 多 諧 振 盪 器 ( Astable multivibrator),試畫出vo1、vo2與vI1之波形(10 分),並說明該電路之工作原理。( 10 分)
#158053
⑴ Y =
#158054
6. 已知下圖疊接放大電路之MOSFET參數K₁=K₂=0.5mA/V²,靜態汲極電流ID為0.5mA,則電路之gm為?
#566892
5. 如圖所示電路,Vi=3.77cos377tV,R=100kΩ,C=1μF,電容電壓初值為零,則輸出電壓Vo為?
#566891
相關試卷
115年 - 115-1 臺北市立大安高工教師甄選試題_電子/控制科:電子學#138452
115年 · #138452
115年 - 115 國營臺灣鐵路股份有限公司從業人員_甄試試題_第10階-助理技術員-電力、電務:電子學概要#138261
115年 · #138261
114年 - 114 地方政府公務特種考試_三等_電力工程、電子工程、電信工程:電子學#134800
114年 · #134800
114年 - 114 地方政府公務特種考試_四等_電力工程、電子工程、電信工程:電子學概要#134742
114年 · #134742
114年 - 114 專技高考_電子工程技師:電子學#133712
114年 · #133712
114年 - 114 公務升官等考試_薦任_電力工程、電子工程、電信工程:電子學#133247
114年 · #133247
114年 - 114 原住民族特種考試_四等_電子工程:電子學概要#130947
114年 · #130947
114年 - 114 專技高考_專利師(選試專業英文及電子學)、專利師(選試專業日文及電子學):電子學#130110
114年 · #130110
114年 - 114 普通考試_電力工程、電子工程、電信工程:電子學概要#128790
114年 · #128790
114年 - 114 高等考試_三級_電力工程、電子工程、電信工程:電子學#128768
114年 · #128768