阿摩線上測驗
登入
首頁
>
統計學
>
105年 - 105 地方政府特種考試_四等_經建行政、交通技術:統計學概要#58743
> 申論題
申論題
試卷:105年 - 105 地方政府特種考試_四等_經建行政、交通技術:統計學概要#58743
科目:統計學
年份:105年
排序:0
申論題資訊
試卷:
105年 - 105 地方政府特種考試_四等_經建行政、交通技術:統計學概要#58743
科目:
統計學
年份:
105年
排序:
0
題組內容
二、甲公司品管檢驗員抽驗該公司生產之燈泡 20 盒,得各盒不良品件數 X 的分配如下表 所示:
試求不良品件數的下列項目: (每小題 5 分,共 25 分)
申論題內容
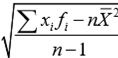
⑷標準差
詳解 (共 1 筆)
詳解
提供者:hchungw
標準差
=1.298