阿摩線上測驗
登入
首頁
>
教甄◆數學
>
115年 - 115-1 臺中市立文華高級中等學校_教師甄選專業知能試題:數學科#138727
> 申論題
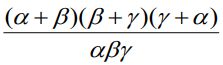
2. 若複數 α、β、γ 滿足 |α| = |β| = |γ| = 1,試證明
為實數。
相關申論題
1. 從 11、12、13、14、15、16、17、19 共 8 個數字中任取 3 個,則取到的三數其標準差與 25、26、28 三數的標準差相同的機率為_________。
#568738
2. 若 P 為△ABC 內部一點(不含邊界),G 為△ABC 的重心,且滿足,則實數 k 的範圍為_________。
#568739
3. 設空間中一點 A(5,5,2),直線 L 過 A 點且 L 的一個方向向量為 (4,3,1),另有一平面 E:2x + y + 3z = 7,B 為 L 與 E 之交點,點 C 在 E 上且滿足,試求使△ABC 面積最大之 C 點坐標為_________。
#568740
4. 小強有一堆 1 元、5 元、10 元的硬幣,他發現 1 元硬幣的個數大於等於 5 元硬幣的個數,5 元硬幣的個數大於等於 10 元硬幣的個數,10 元硬幣的個數大於等於 8 個,且「1 元硬幣的個數」加上「5 元硬幣的個數的 3 倍」再扣掉「10 元硬幣的個數」剛好是 60 個。則他手上的硬幣總金額最多為_________。
#568741
5. 空間向量 (-8+4s+2t, 3+s-3t, 27+5s+t) 的長度最小值為_________。
#568742
6. 如下圖,△PQR 為正三角形,A、B、C 分別落在 邊上,且△ABC 中,∠ACB = 90°。若 = 4, = 5, = 7,則 = _________。(圖形僅供參考)
#568743
7. 設 f(x)、g(x) 皆為實係數多項式,其中 g(x) 是首項係數為正的二次多項式。已知 (g(x))² 除以 f(x) 的餘式為 a·g(x),其中 a 為正整數。已知 y = f(x) 的圖形與 x 軸無交點,且 y = g(x) 的頂點 y 坐標為 9,則所有可能的 a 值之和為_________。
#568744
8. 空間中,兩點 A(1,-2,-1)、B(3,1,0),一平面 E:2x - y - 2z - 1 = 0,若 E 上一點 P 使 有最小值 M 時,P 點的坐標為 (x₀, y₀, z₀),則 (M, x₀, y₀, z₀) = _________。
#568745
9. 在 xy 平面上,點集合 F = {(x, y) | |2x + y| + |x - 3y| ≤ 8} 所形成的區域面積為_________。
#568746
10. 設 0 < θ < ,則 所有可能的值為_________。
#568747
相關試卷
115年 - 115-1 臺中市立文華高級中等學校_教師甄選專業知能試題:數學科#138727
115年 · #138727
115年 - 115-2 台北市立建國高級中學_正式教師甄選試題:數學科#138704
115年 · #138704
115年 - 115-1 國立嘉科實驗高級中學_教師甄選試題_國中部:數學科#138695
115年 · #138695
115年 - 115-1 臺北市立中正高級中學_專任教師甄選初試試題:數學科#138690
115年 · #138690
115年 - 115-1 國立羅東高中_教師甄選初試︰數學科#138675
115年 · #138675
115年 - 115-1 臺南市立沙崙國際高級中學高中部_教師甄選試題:數學科#138673
115年 · #138673
115年 - 115-1 國立蘭陽女子高級中學_教師甄選試題︰數學科#138666
115年 · #138666
115年 - 115-1 新竹縣立湖口高中_正式教師甄選試題:數學科#138653
115年 · #138653
115年 - [無官方正解]115-1 國立屏科實驗高級中等學校_教師甄選:高中數學科#138645
115年 · #138645
115年 - 115-1 國立屏科實驗高級中等學校_教師甄選試題:國中數學科#138641
115年 · #138641