阿摩線上測驗
登入
首頁
>
教甄◆數學
>
115年 - 115-1 新竹縣立湖口高中_正式教師甄選試題:數學科#138653
> 申論題
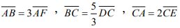
7. 在△ABC三邊上的點 D, E, F 滿足
其示意圖如右。若 P 是四邊形 AFDE 內一點(不含邊界)使得
,試求 k 值的範圍為______。
相關申論題
1. a a a b b c c d八個字母全取排成一列,則b的旁邊不能排c的排法有_______種。
#567882
2. 空間座標系中,在平面E: x+y+z=6上鋪設三個頂點為 A(1,1,4)、B(2,1,3)、C(3,2,1)的三角形磁磚(磁磚厚度不計),今一雷射光線自點P(2a,3a+1,a-1)射出,沿著向量(2,1,3)的方向直線前進,若欲使雷射投射的光點落在磁磚鋪設區域(含邊界),則所有可能的動點 P 所成圖形的長度或區域面積為______。(若圖形為線段則求其長度,若為封閉區域則求其面積)
#567883
3. 已知實數 x1, x2, y1, y2 滿足 x12+y12=1,x22+y22=1, x1x2+y1y2=,試求 |x1+y1-1|+|x2+y2-1| 的最大值為______。
#567884
4. 設,則函數f(x)=的最大值為______。
#567885
5. △ABC中,已知 A(6,0),若∠B、∠C的內角平分線方程式分別為2x-3y+1=0、x-2=0,則直線BC的方程式為______。
#567886
6. 將直線 L 對直線 y=2x 鏡射,然後再繞原點旋轉 45°,得到直線,則原直線L的方程式為______。
#567887
8. 設 f(x)=x9+x8+x7+...+x-10,則=?
#567889
9. 設(x1,y1)=(0,-1),(x2,y2)=(1,0),(x3,y3)=(0,1),若二實數 a 與 b 使 D=(y1-a-bx1)2+(y2-a-bx2)2+(y3-a-bx3)2之值為最小,此最小D值為______。
#567890
10. 設為平面上三個非零向量,已知與不平行,且, k>0。若與所張成的平行四邊形面積為 14,與 所張成的平行四邊形面積為21,求k。
#567891
11. 圓內接四邊形中,。令=x,若 x 的可能值的最大範圍為區 間 (a,b),求該區間的長度 b-a 為何?______。
#567892
相關試卷
115年 - 115-1 新竹縣立湖口高中_正式教師甄選試題:數學科#138653
115年 · #138653
115年 - [無官方正解]115-1 國立屏科實驗高級中等學校_教師甄選:高中數學科#138645
115年 · #138645
115年 - 115-1 國立屏科實驗高級中等學校_教師甄選試題:國中數學科#138641
115年 · #138641
115年 - 115-1 國立嘉科實驗高級中學_教師甄選試題_高中部:數學科#138615
115年 · #138615
115年 - 115-1 臺北市立大同高級中學_教師甄選初選試題:高中數學科#138591
115年 · #138591
115年 - 115-1 臺北市立大安高工教師甄選試題:數學科#138455
115年 · #138455
115年 - 115-1 國立臺灣師範大學附屬高級中學_專任教師甄選試題:數學科#138411
115年 · #138411
115年 - 115-1 國立臺灣師範大學附屬高級中學_專任教師甄選試題:數學科#138410
115年 · #138410
115年 - 115-1 國立臺灣師範大學附屬高級中學_專任教師甄選試題:數學科#138409
115年 · #138409
115年 - 115-1 臺北市立麗山高級中學_正式教師甄選試題:數學科#138397
115年 · #138397