複選題
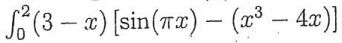
7. Let g be the function given by g(x) =
dt. Which of the
following statements about g must be true?
I. g is increasing on the interval (1,2).
Ⅱ.g is increasing on the interval (2,3).
III. g(3) >0
(A) I only (B) II only (C) II only (D) II and IIl only (E) I, I, and III。