阿摩線上測驗
登入
首頁
>
輸送現象與單元操作
> 100年 - 100 專技高考_化學工程技師:輸送現象與單元操作#26963
100年 - 100 專技高考_化學工程技師:輸送現象與單元操作#26963
科目:
輸送現象與單元操作 |
年份:
100年 |
選擇題數:
0 |
申論題數:
7
試卷資訊
所屬科目:
輸送現象與單元操作
選擇題 (0)
申論題 (7)
一、有一潤滑油貯槽,固定在四隻支撐腳架上。各腳架為面寬 10 cm方形柱,與地面形 成 75 度。潤滑油的黏度 10 poise,密度 0.82 g/cm
3
。今發現貯槽有一小裂縫,潤滑 油沿其中一隻支撐腳架的一整面流下,估計有 2 mm厚度。試估算一天有多少重量 (g/day)潤滑油流失?(20 分)
【已刪除】二、有一圓棒(半徑為r
0
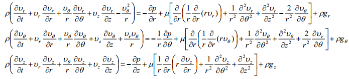
)垂直於一非常大水池中,對自身軸線以角速度(angular velocity)Ω旋轉,水的密度與黏度假設為常數。當達穩態(steady state)時,試推 導水池自由液面(free surface)形狀函數。圓柱座標運動方程式如下所示:(20 分)
⑴總熱傳係數(overall heat transfer coefficient);(8 分)
⑵若將管外側對流熱傳係數(h
o
)提高一倍,其他條件不變,總熱傳係數增加的百分 率;(6 分)
⑶若將管內側對流熱傳係數(h
i
)提高一倍,其他條件不變,總熱傳係數增加的百分率。 (6 分)
【已刪除】四、如圖 1,氣體B平行流過液體A的表面,A的蒸汽傳送至氣流中,在虛構的厚度 δ 內, 氣體流速非常慢。試依質傳膜理論(film theory in mass transfer)推導質傳係數(mass transfer coefficient)與擴散係數(diffusivity)之關係,並書明所有假設。(20 分)
五、有一廢水流自一質傳汽提塔(stripper)的頂部引入,空氣自底部以逆流方向往上流 動。在汽提塔的操作條件範圍內,液膜與氣膜的個別質傳係數(individual mass transfer coefficient)分別為k
L
and k
G
。若操作濃度範圍符合亨利定律(Henry’s Law) pAi = HcAi。試推導出總體質傳係數(overall mass transfer coefficient, KL and KG)和個 別膜質傳係數(k
L
and k
G
)之間的關係。(20 分)