所屬科目:輸送現象與單元操作
(一)利用題目所給的邊界條件(boundary conditions)解 a,b,c,d,e,求得。(20 分)
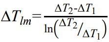
二、有一個套管式熱交換器(double-pipe heat exchanger),熱氣體流與水流進行逆流(countercurrent)熱交換,熱氣體流量 64220 kg,比熱=1.011 ,走內管外側,熱氣體進入交換器之進口溫度 412℃。水流走內管內側,流量 15.4 ,水流進口溫度 44.5℃,出口溫度 77.0℃,水比 熱Cpw =4.187 kJ , 假設總包熱傳係數 (overall heat-transfer coefficient, Uo )Uo =68.2 W ,試估算熱氣體流出口溫度[℃],熱傳面積 A [m2]。需用 log-mean temperature difference 。已知q=。(20 分)
三、起泡擴散器(bubbler)裝盛有機金屬前驅物液體(organometallic liquid),攜帶氣體(carrier gas)通過起泡擴散器,氣泡攜帶前驅物蒸氣帶入沉積反應器中進行下一步化學反應。在下列起泡擴散器操作條件下,計算前驅物蒸氣的飽合蒸氣壓,質傳係數,及氣泡前驅物的質量通量(massflux)。(30 分) 起泡擴散器溫度 T=343 K,前驅物飽和蒸汽壓()經驗公式如下式(假設氣液界面的蒸氣壓為飽合,前驅物蒸氣是理想氣體,質傳濃度差以壓力差表示,質傳壓力差即為 )
四、研究室進行逆滲透(reverse osmosis)膜分離實驗,穩態鹽水分離,鹽水進入面積的逆滲透模組,進口鹽水濃度 11.5 kg NaCl m3,密度 1005.2 kg ,產品(出口)低鹽度水之濃度 0.266 kg NaCl ,密度 997.2 kg ,獲得產品低鹽度水流量 ,分離膜兩側壓力差△P=52 atm,請計算進口及出口鹽水的滲透壓差△π[atm],水滲透通量(mass flux of water, ),及水滲透常數 。(20 分) 已知,NaCl 式量 58.44,表一為鹽水滲透壓。