阿摩線上測驗
登入
首頁
>
電子學
> 100年 - 100 普通考試_電力工程、電子工程、電信工程:電子學概要#45812
100年 - 100 普通考試_電力工程、電子工程、電信工程:電子學概要#45812
科目:
電子學 |
年份:
100年 |
選擇題數:
0 |
申論題數:
7
試卷資訊
所屬科目:
電子學
選擇題 (0)
申論題 (7)
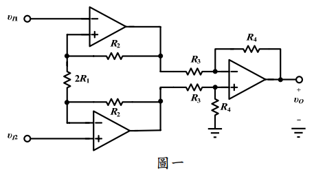
【已刪除】一、如圖一所示電路,所有運算放大器均為理想,試推導出電路的放大倍率 A
v
=
=?(20 分)
⑴電壓增益
?(10 分)
⑵輸入電阻R
in
=?(5 分)
⑶輸出電阻R
out
=?(5 分)
【已刪除】三、如圖三之放大器,M1與M2完全匹配,若MOSFET的轉導均為g
m
,輸出電阻均為r
o
, R
D1
= R
D2
= R
D
,試求小訊號放大倍率
?(20 分)
四、圖四為共源極放大器之高頻等效電路,試推導出放大器的零點(zero)。(20 分)
【已刪除】五、如圖五所示為某振盪器的小訊號等效電路,試推導出電路的振盪頻率ω
o
。(20 分)
相關試卷
115年 - 115-1 臺北市立大安高工教師甄選試題_電子/控制科:電子學#138452
115年 · #138452
115年 - 115 國營臺灣鐵路股份有限公司從業人員_甄試試題_第10階-助理技術員-電力、電務:電子學概要#138261
115年 · #138261
114年 - 114 地方政府公務特種考試_三等_電力工程、電子工程、電信工程:電子學#134800
114年 · #134800
114年 - 114 地方政府公務特種考試_四等_電力工程、電子工程、電信工程:電子學概要#134742
114年 · #134742
114年 - 114 專技高考_電子工程技師:電子學#133712
114年 · #133712
114年 - 114 公務升官等考試_薦任_電力工程、電子工程、電信工程:電子學#133247
114年 · #133247
114年 - 114 原住民族特種考試_四等_電子工程:電子學概要#130947
114年 · #130947
114年 - 114 專技高考_專利師(選試專業英文及電子學)、專利師(選試專業日文及電子學):電子學#130110
114年 · #130110
114年 - 114 普通考試_電力工程、電子工程、電信工程:電子學概要#128790
114年 · #128790
114年 - 114 高等考試_三級_電力工程、電子工程、電信工程:電子學#128768
114年 · #128768