阿摩線上測驗
登入
首頁
>
國營事業◆自動控制
> 101年 - 101 臺灣菸酒股份有限公司新進職員甄試_3職等_電子電機人員:自動控制#26671
101年 - 101 臺灣菸酒股份有限公司新進職員甄試_3職等_電子電機人員:自動控制#26671
科目:
國營事業◆自動控制 |
年份:
101年 |
選擇題數:
0 |
申論題數:
5
試卷資訊
所屬科目:
國營事業◆自動控制
選擇題 (0)
申論題 (5)
【已刪除】(一)試求如下圖系統之轉換函數
。【15 分】
【已刪除】(二)假設
、且 H
1
(s)、H
2
(s)為常數,試闡述 H
1
(s)與 H
2
(s)之間的關係使 得
恆為一非零之常數。【10 分】
【已刪除】二: 試描繪
的增益頻率響應圖,請由圖中估算 ω = 50 rad/sec 的增益 值,並求出另一個具有相同增益值的頻率。【25 分】
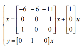
【已刪除】三: 請檢驗下列以動態方程式(dynamical equation)描述的系統之穩定性(stability)與可觀 測性(observability),並將其轉換成輸出輸入轉移函數(I/O transfer function)的形式。(請列 出過程與理由,否則不予計分)【25 分】
【已刪除】四: 在圖 P4-1 與圖 P4-2 中,若
,則單位步階響應 c(t) =
-1
{C(s)}的超 振量 OS 與穩態誤差 e
ss
各為若干?【25 分】
相關試卷
113年 - 113 臺灣菸酒股份有限公司_從業職員及從業評價職位人員甄試試題_從業評價職位人員_電子電機:自動控制#133996
113年 · #133996
113年 - 113 臺灣菸酒股份有限公司_從業職員及從業評價職位人員甄試試題_電子電機:自動控制#133977
113年 · #133977
113年 - 113 國營臺灣鐵路股份有限公司_從業人員甄試_第 9 階-技術員-電機:自動控制概要#119067
113年 · #119067
112年 - 112 臺灣菸酒股份有限公司_從業職員及從業評價職位人員甄試_從業職員/機械(中區):自動控制#137443
112年 · #137443
112年 - 112 臺灣菸酒股份有限公司_從業職員及從業評價職位人員甄試試題_電子電機:自動控制#137404
112年 · #137404
112年 - 112 臺灣菸酒股份有限公司_從業職員及從業評價職位人員甄試_從業職員/電子電機:自動控制#118449
112年 · #118449
110年 - 110 臺灣菸酒股份有限公司_從業職員及從業評價職位人員甄試試題_從業職員/機械 :自動控制#111385
110年 · #111385
109年 - 109 桃園國際機場股份有限公司_新進從業人員招募甄選_工程-機械-技術員:自動控制#90579
109年 · #90579
109年 - 109 臺灣菸酒股份有限公司_從業職員及從業評價職位人員甄試_從業職員-電子電機、電機工程學程:自動控制#89252
109年 · #89252
109年 - 109 臺灣菸酒股份有限公司_從業職員及從業評價職位人員甄試_從業職員-機械::自動控制#89103
109年 · #89103