所屬科目:國營事業◆自動控制
1. 今有一系統之轉移函數(Transfer function)為,請問該系統有幾個極點(Pole)? (A) 4 (B) 3 (C) 2 (D) 1
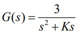
2. 某系統的轉移函數為,則此系統之穩定性為: (A) Stable (B) Marginally stable (C) Unstable (D) Unknown
8. 某單位負迴授系統,其開迴路轉移函數,欲使閉迴路系統之極點為 s =-1±2 j ,則K值應為多少? (A) 3 (B) 5 (C) 7 (D) 9
9. 某單位負迴授系統,其開迴路轉移函數,若其輸入為單位步階(Unit-step) 函數,下列K值中何者將使最大超越量(Maximum overshoot)相對最小? (A) 4 (B) 5 (C) 6 (D) 7
16. 某系統的轉移函數為 ,試求此系統的震盪頻率為多少rad/sec? (A) (B) (C) (D)
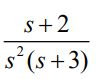
17. 某一單位負迴授系統,其開迴路轉移函數為,已知K1≥0,其根軌跡的漸進線(Asymptote)之交點為何? (A) (B) (C) (D)
19. 當使用主極點(Dominant poles)的觀念分析系統特性,主極點的實數部分,應最少小於其他極點的比例為何: (A) (B) (C)(D)
20. 某二階系統轉移函數的分母為 s2+2s + 4 ,試問其單位步階響應的震盪頻率為何? (A) 2 (B) 1 (C) (D)
32. 相位邊限(phase margin,P.M.)定義為系統在增益值為何時系統相位 ∠GH(j ω) 的大小再加 上180°? (A) 1dB (B) -3dB (C) 0 (D) 1
33. 穩態誤差(steady-state error) ess 定義為系統何時的期望輸出 r(t) 與真實輸出 y(t) 的差值? (A) t = 0 時 (B) t →∞ 時 (C) t → 0 時 (D) t =1 時
36. 脈衝函數(impulse function) δ(t )的拉氏轉換(Laplace transform)為何? (A) 1 (B) ∞ (C) (D) 0
37. 單位步階函數(unit step function) u(t) 的拉氏轉換(Laplace transform)為何? (A) 1 (B) ∞ (C)(D)
38. 時間函數的拉氏轉換(Laplace transform)為何? (A)(B) (C) (D)
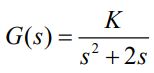
45. 如圖【1】所示,系統為臨界穩定時,此時系統的振盪頻率ω為多少? (A) (B) (C)ω =1 (D) ω= 5
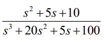
48. 增益邊限(gain margin,G.M.)定義為系統在相位角達幾度時系統增益| GH(jω )|的倒數? (A) 0° (B) -90° (C) -180° (D) -360°
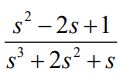
50. 相位交越頻率(phase-crossover frequency)為當系統相位∠GH(jω ) 為何時的頻率? (A) 0° (B) 180° (C) -180° (D) 360°