所屬科目:高中◆資優◆數學
3. 方程式 x 2 + 3 x - = 9 的所有實根之乘積為______
4. 如下圖, △ABC 中,D 在 上,E 在 上,且 、 、 ,則 ∠A ______
5. 如下圖, = 3 : 2 , 則 △ABC 與 △DEF 的面積比為______
6. 如下圖,B、C 將 三等分, 分別是圓 O、N、P 的直徑, 這三個圓的半徑都是 15,設 切圓 P 於點 G,且交圓 N 於 E、F, 則 =______
10. 如下圖,已知 △OBE 面積為 5, △OBC 面積為 10,△OCD 面積為 8, 則四邊形 AEOD 的面積為______
11. 如下圖,四邊形 ABCD 中, = 21 , = 10 , = 9 ,已知 是 ∠BAD 的角平分線,則 = ______
12. 如下圖,一次函數 y = -2 x + 3 的圖形與 x、y 軸分別相交於 A、C 兩點 ,二次函數 y = x 2 + bx + c 的圖形過點 C 且與一次函數在第二象限交於 另一點 B,若 = 1 : 2 ,求這個二次函數的頂點坐標為______
13. 下圖梯形ABCD中, ,∠BAC=90°, =4, =3,E、F分別為 中點,若 =1,則梯形 ABCD面積為_____________
15. 志明在公共汽車上發現路邊一個小偷往相反方向逃跑,10 秒鐘後他下車追小偷, 如果他的速度是 1 小偷速度的 3 倍,是公共汽車的倍,則志明從下車後追上小偷要______秒
16. 如下圖,在直角 △ABC 中, ∠A = 90° , ∠B 和 ∠C 的角平分線交於 F,且 C 分別交對邊於 D、E,若 = 5 、 = 12 、 = 13 ,求四邊形 BCDE 的 面積: △BFC 的面積比值為 ______
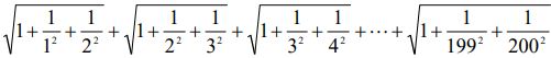
17. 求 =______
18. 如下圖,若正方形 ABCD 的邊長為 2,且 , 則 =______
19. (1 + x) (1 + x3 ) (1 + x9 ) =1+ +……+ , 其中 a1 < a2 < a3 ..... < ,求 =______
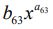
20. 如下圖,三個兩兩外切的圓,也都跟直線相切,最大圓半徑為 144, 中圓半徑為 36,求最小圓半徑為_________________