所屬科目:研究所、轉學考(插大)-微積分
4. Find y that satisfies where k is a constant and y cannot exceed a maximal size M
6. If f(x,y,z)=xsin(yz) , (a) find the gradient of f and (b) find the directional derivative of f at (1,3,0) in the direction of .
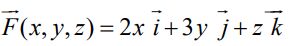
7. Find the work done by the force fieldin moving a particle along the circular helix
from point.
9. Evaluate the double integralsinθdA
where Q is the region inside the upper half of the cardioid r =1+cosθ .