阿摩線上測驗
登入
首頁
>
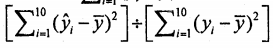
轉學考-統計學
> 103年 - 103 淡江大學 轉學考 統計學#56005
103年 - 103 淡江大學 轉學考 統計學#56005
科目:
轉學考-統計學 |
年份:
103年 |
選擇題數:
10 |
申論題數:
5
試卷資訊
所屬科目:
轉學考-統計學
選擇題 (10)
1.令A,B爲兩獨立事件,其中
(A) 0.34 (B) 0.30 (C) 0.45 (D) 0.25
2.小華回答10題是非題全以猜答案方式做答,他至少答對一題的機率爲:
(A) 1 一 (1 / 2)
10
(B) 1/2 (C) 1/10 (D) 9/10
3.則(a,b)的最小平方估計量爲: (A) (1.5,0.5) (B) (2.5,1.5) (C) (1.5,2.5) (D) (1,1.5)
4.承題3,若
,則此簡單線性迴歸的判定係數(coefficient of determination) R
2
=
爲: (A)52 (B) 0.52 (C) 0.82 (D) 0.62
5.承題3與4,x,y兩變數的相關係數(correlation coefficient)爲何? (A) 0.8 (B) 0.5 (C) 0.75 (D) 0.6
6.下列有關於隨機變數彼此關係的敘述,何者正確?
(A)
(B)若
則X1月艮從自由度爲2的卡方(chi-square)分布
(C)若
爲獨立隨機變數,且皆服從Bernoulli(0.05)分布,則
。服從 Binomial(10,0.5) (D)若
7.若
則下列敘何者錯誤?
(A)P(X≥8) = P(X ≥ 2) (B) P(X>0) = 1 (C) P(X = 10) = 1-P(X>0) (D)X 具對稱分布
8.利用柴比雪夫定理可知,一組資料中至少84%的部分會落在此組資料的平均數附近幾個標準差的範圍內? (A)1 (B)1.5 (C)2 (D)2.5
9.若某一假設檢定的顯著水準爲a,且已知虛無假設被拒絕,則下列有關檢定統計量的rvalue與a的大 小關係何者正確? (A) revalue = a (B) p-value <a (C) p-value > a (D) p-value
a
10.假設一項特考有1132人應考,預定錄取70人,己知該項考試的平均成績爲195分,標準差爲9.74分,若該項考 試的成績呈常態分布,則最低錄取總分約爲: (A)185 (B) 205 (C)210 (D)215
申論題 (5)
【已刪除】11.某國的交通單位隨機抽取了 1200個超速案例,其發生的季節分布如下: 試在a = 0.05的顯著水準下,檢定是否開車超速案例平均分布於春夏秋冬四個季節。
12.根據某國醫學統計資料,該國平均每100人就有7人患有肺病,患有肺病的病患中,有90%的人是吸煙者,而 fl市部健康的人士中的74%是不吸煙者,請利用貝氏定理計算出吸煙者患有肺病的機率
【已刪除】13.淡疆行銷公司隨機抽出1000位大學生,針對他們對未來就業的意向做問卷調査,得出其意向列聯表如下:
試在a = 0.05的顯著水準下,檢定大學生對將來從事服務業與否的就業意向,是否存在性別差異。
【已刪除】14.某公司發明了一種可以訓練運動選手彈跳高度的機能性運動鞋,爲了解是否選手穿了以後,可以增加其垂 直彈跳的高度,該公司找了 8個運動員進行穿著測試三個月,得出每個人使用前後的測試資料如下:
請在a = 0.05下檢定是否此款訓練鞋顯著地增加了運動員的垂直彈跳高度。
(提示:
,可以使用配對檢定)
15.某工程師從其工廠生產出的燈泡中隨機抽出10個燈泡,得出平均壽命如下(單位:百小時)19,18,17,16,18,17, 16,18,20,16,已知該製程之燈泡整體壽命標準差爲1 (百小時),試計算平均壽命的95%信賴區間》(假設燈 泡壽命服從常態分布)。
相關試卷
101年 - 101 淡江大學 轉學考 統計學#53706
101年 · #53706
98年 - 98 淡江大學 轉學考 統計學#55782
98年 · #55782
96年 - 96 淡江大學 轉學考 統計學#56044
96年 · #56044
96年 - 96 淡江大學 轉學考 統計學#55965
96年 · #55965
96年 - 96 淡江大學 轉學考 統計學#55963
96年 · #55963
94年 - 94 淡江大學 轉學考 統計學#56049
94年 · #56049
93年 - 93 淡江大學 轉學考 統計學#56059
93年 · #56059
92年 - 92 淡江大學 轉學考 統計學#56063
92年 · #56063
91年 - 91 淡江大學 轉學考 統計學#56327
91年 · #56327
90年 - 90 淡江大學 轉學考 統計學#56329
90年 · #56329