阿摩線上測驗
登入
首頁
>
轉學考-統計學
> 96年 - 96 淡江大學 轉學考 統計學#55965
96年 - 96 淡江大學 轉學考 統計學#55965
科目:
轉學考-統計學 |
年份:
96年 |
選擇題數:
0 |
申論題數:
14
試卷資訊
所屬科目:
轉學考-統計學
選擇題 (0)
申論題 (14)
【已刪除】(a)
【已刪除】(b)
【已刪除】(c)
【已刪除】(d)
【已刪除】(e)
【已刪除】 (a)
【已刪除】(b)
【已刪除】(c)
【已刪除】(d)
3. Find the maximum and minimum values for the function
f(x) = x
3
- 3 x
2
-24x+5 for x on the interval [-3, 8]. (l0points)
4. Find the relative extreme values of f(x, y) -y" + x3 -4xy. (10 points)
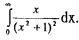
【已刪除】5. Find the Taylor series for
dt at x=0. (lOpoints).
(a) If price is increasing at the rate of 50% per week how fast is demand changing when p=$40? (8points)
【已刪除】(b) Find
at the point (p
0
,x
0
)=(40, 20). (8points)
相關試卷
103年 - 103 淡江大學 轉學考 統計學#56005
103年 · #56005
101年 - 101 淡江大學 轉學考 統計學#53706
101年 · #53706
98年 - 98 淡江大學 轉學考 統計學#55782
98年 · #55782
96年 - 96 淡江大學 轉學考 統計學#56044
96年 · #56044
96年 - 96 淡江大學 轉學考 統計學#55963
96年 · #55963
94年 - 94 淡江大學 轉學考 統計學#56049
94年 · #56049
93年 - 93 淡江大學 轉學考 統計學#56059
93年 · #56059
92年 - 92 淡江大學 轉學考 統計學#56063
92年 · #56063
91年 - 91 淡江大學 轉學考 統計學#56327
91年 · #56327
90年 - 90 淡江大學 轉學考 統計學#56329
90年 · #56329