阿摩線上測驗
登入
首頁
>
轉學考-統計學
> 94年 - 94 淡江大學 轉學考 統計學#56049
94年 - 94 淡江大學 轉學考 統計學#56049
科目:
轉學考-統計學 |
年份:
94年 |
選擇題數:
0 |
申論題數:
14
試卷資訊
所屬科目:
轉學考-統計學
選擇題 (0)
申論題 (14)
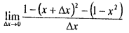
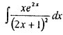
【已刪除】(i)
【已刪除】(ii)
【已刪除】(iii)
【已刪除】(iv)
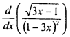
【已刪除】(i)
【已刪除】(ii)
【已刪除】(iii)
【已刪除】(iv)
【已刪除】 (v)
【已刪除】(vi)
【已刪除】3. A company manufactures a product at two locations. The costs of manufacturing x
1
units at plant 1 and x
2
units at plant 2 are
respectively. If ihe product sells for $10 per unh, find x
1
and x
2
, such that the profit,
is maximized. (15%)
(a) Find a model for sales from 1991 through 2000. (8%)
(b) Find Wal-Marfs sales in 1998. (7%)
5. Find the area bounded by f(x) = x
2
+ 2x + l and g(x) - 2x + 5. (10%)
相關試卷
103年 - 103 淡江大學 轉學考 統計學#56005
103年 · #56005
101年 - 101 淡江大學 轉學考 統計學#53706
101年 · #53706
98年 - 98 淡江大學 轉學考 統計學#55782
98年 · #55782
96年 - 96 淡江大學 轉學考 統計學#56044
96年 · #56044
96年 - 96 淡江大學 轉學考 統計學#55965
96年 · #55965
96年 - 96 淡江大學 轉學考 統計學#55963
96年 · #55963
93年 - 93 淡江大學 轉學考 統計學#56059
93年 · #56059
92年 - 92 淡江大學 轉學考 統計學#56063
92年 · #56063
91年 - 91 淡江大學 轉學考 統計學#56327
91年 · #56327
90年 - 90 淡江大學 轉學考 統計學#56329
90年 · #56329