所屬科目:高中◆資優◆數學
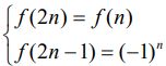
1. 有一個函數f (x)滿足,其中n為正整數,求f (1000) + f (3000) + f (5000) + f (7000) + f (9000) = ?
2. 如下圖所示,正方形ABCD中,E 、 F 、G 、 H為四邊上的點, 且。已知小正方形KLMN 的面積為 16平方公分,求大正方形ABCD的面積為?
4. 給定點C(3,1),動點A在直線x = y上,動點B在x軸上,求△ABC 周長的最小值是?
5. 設a為實數,,求a =?
6. 如下圖,在梯形ABCD中, 平行 , 且。若此梯形有 一半徑為2的內切圓,且此梯形面積為22,求=?
7. 距離每個國家領土兩海浬之內的海域稱為領海,如下圖一所示,三角型區域 為領土,虛線圍成的區域(不包含領土)即為該國領海,虛線上每個點距離最近 的領土皆為2海浬。若有另一島國領土如下圖二,其中,,且∠A = ∠C = 90℃,求圖二的領海面積是多少平方海浬?
8. 如下圖,在△ABC中,,某質點依下列規律運動:(1)先從上一點P1出發,以C為圓心,為半徑繞圓弧運動到達邊上的點Q1 。(2)再以A為圓心,為半徑繞圓弧運動到達邊上的點R1。(3)再以B為圓心,為半徑繞圓弧運動到達邊上的點P2 。(4)依此類推,可得點P2 、Q2 、 R2 、 P3、Q3、...........。現在將ABC放在坐標平面上,令B (0,0),C (15,0) , (9,0) P1 ,求P10的坐標為?
9. 每本書都有一個國際標準書碼(ISBN),這是一個十位數的數字,前九碼稱為分類碼,第十碼稱為檢查碼,檢查碼的 計算方法是由分類碼的每個數字依序乘以1 ~ 9,然後再除以11得到的餘數。當餘數為10的時候,規定檢查碼為x ,當餘數分別為0 ~ 9的時候,此數字即為檢查碼。舉例來說,某書的分類碼是957 - 990 - 882("-"符號為分隔數字用), 則計算9✕1+ 5✕2 + 7✕3+ 9✕4 + 9✕5+ 0✕6 +8✕7 +8✕8 + 2✕9 = 259 ,而259除以11的餘數為6,則此書的檢查碼為6,完整的 ISBN 為957 - 990 - 882 - 6。現有一本書的 ISBN 為049 - 620 -112 - 0 ,若已知此書的分類碼有一個數字抄錯且僅有此數字抄錯,求此書正確的 ISBN 是多少?
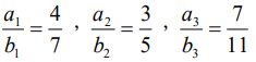
10. 已知數列皆為等差數列,且,則=?
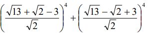
11. 試計算,若其值為,其中a 、b為整數,則數對(a,b) =?
12. 在直角△ABC中,∠B = 90°,P1、P2、P3、… .、P8將斜邊分成9等分,已知= 51,則斜邊長為?
13. 考古學家挖掘某金字塔時發現該金字塔按下列規則建造:(一)此金字塔為一正四角錐(即底面為正方形,四個側面 皆為等腰三角形,金字塔頂點投影到底面後會落在正方形中心)。(二)以此金字塔的高為一邊所形成的正方形面積 恰為側面一個三角形的面積。若令底面正方形的邊長為2a ,側面三角形的高為s,求=?
14. 如下圖,在△ABC中,已知為∠BAC的角平分線,且D在上。若過A、 D且與相切的圓分別交於M 、 N,試求△AMN的周長為?
15. 對所有的正整數n,若n 可以分成數個較小的正整數,即n = n1 + n2 + ⋯ + nk,k > 1,n1, n2, … , nk皆為小於n的 正整數,則稱(n1, n2, … , nk)是n 的一個分解。現令是n的分解中乘積最大的那一個數,求 =? (舉例來說,3 = 1+1+1 = 2 +1,因為2✕1>1✕1✕1,所以a3 = 2 。 4 = 1+1+1+1 = 2 +1+1 = 3+1 =2 + 2,所以a4 = 4。)
16. 如下圖,在△ABC中,,取邊上的兩點D 、 E , 使得= 7,∠ACD=∠BCE,求的長為?
(1)試用R 、 r來表示。(8 分)
(2)試求比值=?(4 分)