所屬科目:水文學
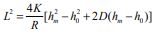
一、一非拘限含水層(unconfined aquifer)之地表以固定的水量灌溉,其入 滲率為 R。如下圖,若兩側邊有溝渠保持地下水位的平衡,試證明兩溝 渠之間距 L 可以下式表示:
式中,K 為滲透係數(coefficient of permeability) , 渠寬忽略不計。(25 分)