所屬科目:教師檢定(教檢)◆國民小學◆數學能力測驗
2. 諸分數中,共有幾個最簡分數? (A) 20 (B) 30 (C) 40 (D) 50
4. 假設 x,y 為實數,G=(x + y − 1) 2+(2x − 2y + 1)2+(−3x + y + 5) 2,求 G 的最小值是多少? (A) (B) (C) 25 (D)
7. 設 為假分數,且 b>a>c>0,則下列何數最大? (A) (B) (C) (D)資料不足,無法判斷
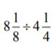
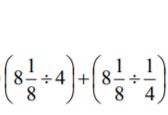
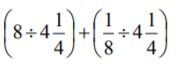
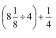
10. =? (A)6600 (B)7500 (C)7600 (D)6500 3
11. 求在 之間的最小值。 (A) -10 (B) -4 (C) 11 (D) -2
12. 連續投擲一個硬幣三次,第一次出現正面,其餘兩次出現反面的機率 為何? (A) (B) (C) (D)
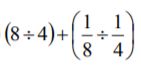
15. 的值與下列何者相等? (A)(B) (C) (D)
16. 蛋塔 5 個裝一盒,平分給 4 個人,每個人可以得到多少?下列哪一 個答案不合理? (A)個蛋塔 (B)盒蛋塔 (C) 個蛋塔 (D)全部的
20. 下列圖形中,哪些是「長方形」? (A) ㄅㄆㄇ都是 (B) 只有ㄅ和ㄆ (C) 只有ㄆ和ㄇ (D) 只有ㄅ和ㄇ
24. 假設曾老師某節課的教學目標為:「在單位內容物為整數個物之下, 能找出給定分數的等值分數」。在教學中,曾老師佈了一個題目讓學 生開放解題,題目是:「一袋彈珠有 24 顆,小佳有 袋,請問和 袋 一樣多的彈珠還有幾分之幾袋?把可能的結果寫出來。」。下面是學 生所提供的各種答案,請問哪一個不是透過操作或圖畫表徵得到的答 案? (A) 袋 (B) 袋 (C) 袋 (D) 袋
26. 下列這三個分數問題,請問有幾個問題情境是“包含除情境”? 甲: 公尺長的鐵絲平分成 2 段,每段長多少公尺? 乙:將全長公尺長的鐵絲剪開,每 公尺剪成1段,可以剪成幾 段? 丙:將 公尺的彩帶,每公尺剪成1段,可以剪成幾段? (A)0個 (B)一個 (C)二個 (D)三個
27. 請問「一包色紙有 10 張,小英有 包紅色色紙, 包黃色色紙, 請問小英共有多少包色紙?」這個問題的語意結構為何? (A)改變類問題 (B)併加類問題 (C)比較類問題 (D)平衡類問題
1. 一盒草莓有 24 顆,小明買了盒,小華買了 盒,兩人共買了多 少盒草莓?請寫出三種學生可能的解題策略。(12%)