109年 - 109 四技二專統測_工程與管理類_專業科目(一):基礎物理、基礎化學#85153
試卷資訊
選擇題 (50)
9. 有一飛輪作等角加速度運動,在 5 秒內轉過 250 弧度,且 5 秒末的角速度為 80 弧度 / 秒, 試求飛輪的角加速度為多少弧度/秒2? (A) 8 (B) 12 (C) 16 (D) 20
38. 一大氣壓且充足氧氣助燃下,下列化合物之莫耳燃燒熱 ( kcal / mol ) 絕對值的比較,何者
正確?
(A) 氦氣>氫氣 (B) 丙烷>甲烷(C) 二氧化碳>一氧化碳 (D) 甲醇>乙醇
, 下降過程的加速度為
,下列敘述何者正確? (A)
(B)
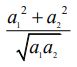
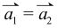
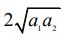
(C)a1<a2(D)a1>a2
(C)
(D)
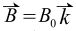
射入一均勻磁場
內,則此質子在磁場內之運動,下列何者正確?(
分別為 x 和 z 軸的單位向量) (A) 速率不變 (B) 不受力 (C) 磁力為 y 方向 (D) 磁力為 z 方向
的整數倍 (B) 電子軌道能量是
的整數倍 (C) 電子軌道角動量是
的整數倍 (D) 電子沒有固定軌道
表示,下列關於該元素的敘述何者正確? (A) 53 個電子,131 個中子 (B) 131 個電子,53 個中子 (C) 78 個質子,53 個中子 (D) 53 個質子,78 個中子
(B)
(C)
(D)
(B)
(C)
(D)