所屬科目:技師◆冶金熱力學
二、利用吉布士自由能(Gibbs free energy)G 的定義(G H –TS),當 1 莫耳的理想氣體經歷了可逆絕熱過程,溫度從T1變化到T2時,證明其吉布士自由能變化為:(15 分)
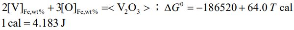
三、某一煉鋼廠正在提煉合金鋼,盛鋼桶內的鋼液含有 0.002 wt%的氧, 操作員將金屬釩在溫度 1830 K 時加入盛鋼桶內,使生產的合金鋼中含有1 wt%的釩,計算盛鋼桶內鋼液中的氧含量必須如何控制,方能避免 鋼中的釩氧化成三氧化二釩造成損失。(20 分) 已知:
五、化學反應的平衡常數K 在溫度範圍300 K~600 K 可以用下式表之: 計算此反應在 T = 400 K 時的標準反應焓(standard reaction enthalpy,△H0 反應 )以及標準反應熵(standard reaction entropy, △S0反應 )。(20 分)