所屬科目:鋼筋混凝土設計與預力混凝土設計
一、梁版系統斷面如下所示,每一梁腹與部分相連的版可視為一 T 型梁抵抗 外載,每一 T 型梁所受之設計(因數化)正彎矩 =130 tf-m(含自重之 效應),求每一 T 型梁所需之最少拉力筋面積。混凝土抗壓強度 ,鋼筋降伏強度 ,梁跨度為 500 cm。根據規範,T 型梁翼版之有效版寬不得超過該梁跨度之 1/4;梁腹每側懸出之有效翼版寬度不得超過翼版厚之 8 倍或該梁與鄰梁間淨距之 1/2。(30 分)
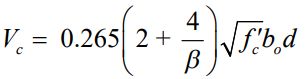
⑵若穿孔剪力強度不足,則由柱面往外,沿平面 X 與 Y 方向配置雙肢剪 力鋼筋,計算所需剪力鋼筋間距s。剪力鋼筋採 D13 鋼筋,一支斷面積為 1.267 cm2。(10 分) 根據規範,無剪力筋時,版混凝土穿孔剪力強度由下列三式決定: ⑴ ⑵,式中於內柱時為 40,於邊柱時為 30, 於角柱時為 20。 ⑶有剪力筋時,版混凝土穿孔剪力強度
⑴計算預力鋼腱於梁各跨度中點(D 與 E 點)之偏心值()以及有效預力值,使預力不產生二次彎矩效應,且在與題目給定的載 重作用下,梁斷面受均勻軸壓應力。(15 分)
⑵設有效預力與初始預力之比值為 0.8,求在初始預力以及題目給 定的載重作用下,斷面 B 上緣與下緣混凝土之應力。(10 分)