所屬科目:鋼筋混凝土設計與預力混凝土設計
一、下圖所示梁斷面之拉力筋為 3-D25 和 2-D22,壓力筋為 2-D19。混凝土 抗壓強度 f'c = 280 kgf/cm2 、鋼筋降伏強度 f y= 5600 kgf/cm 2 ,淨保護層 c = 4 cm ,試求該斷面之設計彎矩強度 ΦM n 。(25 分)
三、如下圖所示之簡支預力混凝土梁跨徑 L = 20 m,鋼筋混凝土之單位重 γ = 2.4 tf/m 3 、 混 凝 土 強 度 f'c= 420 kgf/cm2 , 主 筋 降 伏 強 度 f y =4200 kgf/cm 2 、 肋 筋 降 伏 強 度 = 2800 kgf/cm 2 , 有 效 預 力 Fe = 200 tf 。今於地震後發現距離梁端支承約水平距離為一倍有效深度 處出現腹剪裂縫,經查原設計階段所採用之垂直肋筋為 D10@15 cm,使 用載重包括:自重WG 、均佈靜載重WD = 1.1 tf/m、集中活載重 PL = 25 tf , 但未考慮垂直向地震力。今擬重新檢討,假設垂直向地震力為均佈載重, 其值為自重WG 與均佈靜載重WD 兩者相加後的 25%,且仍使用 D10 當作 垂直肋筋,請問肋筋間距 s 宜如何配置以避免產生腹剪破壞?(25 分)
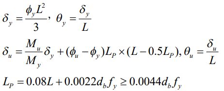
四、某鋼筋混凝土柱之斷面尺寸 80 ✖ 80 cm 、淨高度 6.4 m ,混凝土強度 f'c= 280 kgf/cm2、鋼筋降伏強度 f' y=4200 kgf/cm 2,縱向主筋使用 D32 鋼 筋。已知該柱於軸壓力分別為 P = 180 tf 及 P = 360 tf 作用時,柱底彎矩塑 鉸性質分別如表 3 所示,皆為雙線性曲線。該柱底今承受軸壓力 P = 270 tf ,彎矩 M = 232.5 tf-m ,假設其彎矩塑鉸性質可由表 3 數值作 線性內插,且反曲點位於淨高度一半位置。請根據民國 109 年 12 月交 通部頒「公路橋梁耐震評估與補強設計規範」所列公式如下,以撓曲變 形為主,評估反曲點下方柱視作單曲率柱時之曲率韌性需求 μΦ 、轉角韌 性需求 μθ ,與位移韌性需求μ 。(25 分)