複選題
1. Let X1, X2, ...,
be a random sample drawn from an arbitrary distribution with a
finite mean u and variance o . Which of the following statements about Central
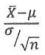
Limit Theorem (CLT) are true? (Multiple choices, 10 marks)(A) As n - co, the sampling distribution of
converges to the N(0, 1)distribution.(B)
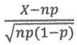
~ N(O, 1) for sufficiently large n.(C) If X is a Bin(n, p) random variable, then
~ N(O, 1).(D) Following
, to apply the CLT, n must be at least 20 if p = 0.5.