所屬科目:高中◆資優◆物理
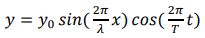
1. 如圖所示,固定的直角桿架 AOB,AO 水平放置、表面粗糙,OB 垂直向下、表面光滑 ,AO 與 OB 分別套上質量均為 m 的小圓環 P 與 Q,兩環以一根不可伸長的細繩相連 成平衡,此時 AO 桿對 P 的正向力為 N,摩擦力為 f,繩拉力為 T。今將 P 環向右移動 一小段距離,當兩環再次成平衡時,正向力 N、摩擦力 f、繩拉力 T 會如何改變? (A) N 不變,T 不變 (B) f 變大,T 變大 (C) N 變大,T 變大 (D) N 不變,f 變大 (E) T 不變,f 變大
2. 如圖所示,以輕繩繫住的小球,繞一水平軸在一鉛直面上作順時針圓周運動, O 點為其圓心。相對 O 點而言,若忽略空氣阻力,則下列敘述哪些正確? (A)繩上的張力對小球不作功 (B)繩上的張力不影響小球的角動量 (C)繩上的張力不影響小球的動量 (D)小球在乙、丁兩處的角動量方向相反 (E)小球角動量隨時間改變率的大小,在乙點時比在丙點時為大。
(1)圓環移動多少距離?(A) (B)
(2)爆炸到停止共花多少時間?(A) (B) (C)
4. 若繩駐波上各質點的橫向位移 y 與時間 t 之關係可表示為:, 則下列敘述何者正確? (A) t = 0 時,各質點動能為 0 (B) 時,繩呈一直線,此時繩不具能量 (C) t = 0 與 t = T 時之波形相同 (D) 波腹的位置與原點相距?的整數倍 (E) 此波之波長為?、週期為 T
5.一絕熱良好的容器內,以絕熱良好的隔板隔成體積分別為 3V 及 2V 的甲、乙兩室。甲室裝入溫度 270 K 的理想氣體氦,乙室裝入溫度 600 K 的理想氣體氖,若裝入兩室氣體的總質量相等,則下列敘述 何者為正確? (A)甲、乙兩室中,氣體壓力比為 1:1 (B)甲、乙兩室中,氣體方均根速率比為 3:2 (C)甲、乙兩室中,單位時間內撞擊單位面積的氣體分子數比為 2:3 (D)甲、乙兩室中,氣體總動能比為 9:20 (E)若抽走隔板,則容器內混合氣體的平衡溫度為 52℃。
6. 關於「共鳴空氣柱」實驗,實驗裝置如圖所示,則下列敘述何者正確? (A) 音叉應置於玻璃管管口上方,稍微碰觸管口。 (B) 判斷空氣柱是否產生共鳴的方法,是觀察水面是否產生劇烈振盪。 (C) 共鳴時管口附近的空氣分子其位移振幅最大, 而管中水面處的空氣分子其位移振幅最小。 (D) 對於同一頻率的音叉,測得的共鳴點位置與實驗室的溫度有關。 (E) 以不同頻率 f 之音叉作實驗,得其不同的(b-a)值對頻率 f 之關係圖為一斜直線。
7. X 同學在自主學習的課程中,想設計一個實驗。想利用加熱氫原子氣體及氦離子當作光源, 作狹縫干涉實驗。假設氫原子光譜由 n = 2 躍遷至 n = 1 來曼系中每個光子的能量為 E,以波耳 氫原子模型來計算,且以無窮遠處為零位面,試問下列何者正確? (A)氫原子的游離能為 (B)氫原子基態的電子位能為 (C)氫原子第一激發態的電子動能為 (D)氦離子基態的電子動能為 (E)氦離子第一激發態的總能為
8. 某人為了練習跑步,從甲地跑到乙地四次,所費時間分別為 25.01、24.23、24.50、25.31 秒 (平均值 24.7625、 標準差 0.487673 秒)。練完後,他再利用「GPS 測量」APP,測得甲乙兩地的距離為 120.43、121.32、120.28、119.42 公尺 (平均值 120.3625、標準差 0.778133 公尺)。接著,他利用科學的方式著手計算他的平均速率, 令他所費的時間為、甲乙距離為,以下有關他的計算過程,哪些正確? (A) 他所費的時間為 24.76±0.49 秒 (B) 他所費的時間為 24.77±0.25 秒 (C) 甲乙兩地的距離為 120.36±0.39 公尺 (D) 平均速率的不確定度之計算方式為 (E) 承D,若計算結果 0.051547,則平均速率記作 4.86±0.06 公尺/秒
10. 原靜止在均勻磁場 B 中的碳原子核,忽然分裂成氦原子核與另一未知原子核 X,即。 已知 e 為基本電荷、碳原子核質量為 m,分裂後的氦原子核,以半徑 R 垂直於磁場方向作等速率圓周運動, 則下列敘述哪些正確? (A) X 為 Be(鈹)原子核 (B) X 所作圓周運動半徑為 2R (C) 氦原子核與 X 在磁場中的旋轉週期比為 1:2 (D) 分裂時,X 獲得的動能為 (E) 分裂時,共有能量轉變成動能
2. 如圖,一固定不動的倒立空心圓錐,其中心軸沿鉛直方向,張角為 2θ,內部為 光滑表面。有一條質量可忽略、長度不變的細繩,穿過位於錐尖 O 的小洞, 與兩個質量均為 m 的質點連接。已知重力加速度為 g。若上端的質點在圓錐 內部的表面,以角速度 ω 作水平的圓周運動,但鉛直懸吊於細繩下端的質點 靜止不動,則圓的半徑為何?
3. 如圖,A、B兩木塊用短鉤相連,放在水平面上,A、B兩木塊的質量分別是 = 1.0 kg 和 =2.0 kg,它們與水平地面間的動摩擦係數均為 μ = 0.10。 在 t = 0 時開始以向右的水平定力 F = 6.0 N 拉木塊B,過一段時間後短鉤脫開, 保持F不變,到 t = 5.0 s 時,A、B兩木塊相距的距離比脫鉤時增加了s =13.0 m, 木塊A早已停住,求此時木塊B的速度為若干 (m/s)? ( g = 10 m/s2 )
5. 如下圖所示,波長 630 nm 的橙色光由空氣入射至厚度為 30 cm、折射率為 1.5, 且置於空氣中之平行玻璃磚。因甲、乙光波的重疊而產生干涉現象,若溫度升高 1℃, 則觀察到同一位置的干涉條紋由黑色轉為橙色再轉為黑色,假設光近乎垂直入射 玻璃磚,試求此玻璃磚之線膨脹係數為若干? (已知玻璃的線膨脹係數介於)
6. 某單晶物質之立方體結構晶格,原子間距為 a,下圖為此單晶物質在某一平面的原子排列,若用波長為 λ 的 X-ray 射入,在圖中的布拉格面造成第一級繞射極大的繞射角為 θ,則 sinθ 為何? (答案以 a、λ 表示之)
7. 如圖所示,半徑 10 公分的金屬球置於半徑 20 公分的薄金屬空心球殼內,兩球同心,內球靠一根長導線經過 外球殼的開孔接地 (即導線未碰觸外球殼),若外球殼帶電量庫侖,無窮遠處與地球電位均為 0, 則外球殼的電位為若干伏特?
10. 如圖所示,兩根平行金屬導軌固定在水平桌面上,每根導軌每公尺的電阻為 r0 = 0.10 Ω/m, 導軌的端點 P、Q 用電阻可忽略的導線相連,兩導軌間的垂直距離 L = 0.20 m。 有隨時間變化的均勻磁場垂直於桌面,已知磁場強度 B 與時間 t 的關係為 B = kt,比例常數 k = 0.020 T/s 。 一電阻不計的金屬桿可在導軌上無摩擦地滑動,在滑動過程中保持與導軌垂直。 在 t = 0 s 時刻,金屬桿緊靠在 P、Q 端,在外力作用下,金屬桿以恆定的加速度從靜止開始向導軌的另一端滑動,求在 t = 6 s 時金屬桿所受的磁力為若干 N ?
(2) 若滑車與軌道間的動摩擦係數為μk,甲與乙兩生做實驗時,軌道的傾斜度各為θ1 、 θ2 , 且重力加速度量值為 g,請計算出圖(2)中(甲)直線之斜率為何?(2 分)