所屬科目:研究所、轉學考(插大)-近代物理學
2. (10 pts) Consider the following set of ions:. To which ones can we apply Bohr's quantized energy formula? Explain your reasoning.
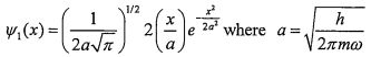
4. (10 pts) The 2nd bound state (n = 1) wave function of the harmonic oscillator is given by: Is the wave function normalized? Explain your reasoning
(a) (5 pts) When a particle is in an infinite square-well potential (V->∞), how does the lowest energy of the particle change when the potential V becomes finite.