所屬科目:研究所、轉學考(插大)-近代物理學
1. (15%) A spacecraft moves at a high speed and the astronauts find that the onboard clock runs 3 s slower per day relative to an identical clock on Earth. What is the speed of the spacecraft relative to the speed of light?
2. (15%) What is the weight change when two hydrogen atoms and an oxygen atom form a water molecule if the binding energy of water is 3eV? (1eV= )
3. (30%) Albert Einstein won his Nobel prize in physics for his contribution in the theory of photoelectric effect. A. Please describe the photoelectric effect. You can take the plot below as a hint. B. What is the prediction of classical physics for this experiment? C. What is Einstein's solution to the discrepancy in photoelectric effect?
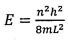
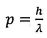
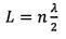
4.(30%) In a one-dimensional energy well with infinite walls as shown below, the wavelength 2 of a particle is limited by the size L of the well with the following relationship: . A. Use de Broglie's wave-particle duality to show that the allowed energy E of the particle is given by .B.What is a "zero-point energy"? Why is the zero-point energy necessary according to the Heisenberg Uncertainty Principle? C. If a particle is at the n=4 energy state, what is the probability of finding the particle betweenL?
5.(10%) The scanning tunneling microscope (see below) uses the quantum tunneling effect to measure the distance between the tip and the surface of a sample. Please explain how.