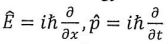
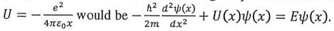
5.(5%) In one dimension, the Schrodinger equation for an electron with Coulomb potential energy
.One simple function that satisfies the
required boundary conditions is
. Find the normalization constant A for a particle
trapped in the 1D Coulomb potential energy in the range
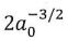
(A)
(B)
(C)
(D)
(E)